Skip to content Skip to sidebar Skip to footer

Widget HTML #1

Difference Between Vitamin K And K1 : Vitamin K Cognition And Behavior Maze Engineers / K1 and k2 are not in the same foods.

Difference Between Vitamin K And K1 : Vitamin K Cognition And Behavior Maze Engineers / K1 and k2 are not in the same foods.. What is the difference between vitamin k1 and k2? However, it is also produced commercially to treat conditions related to excessive bleeding. Vitamin k1 (phylloquinone) is mainly in the leaves of plants because it plays a. It could be due to differences in absorption or biological activity between. What's the difference between vitamin k1 and vitamin k2?

Vitamin k levels are maintained in the body by the vitamin k cycle. Because vitamin k1 and vitamin k2 absorb in the body differently and transport to body tissues differently, they may have different effects on your health. Considered the plant form of vitamin k. Double bonds beyond coagulation insights into differences between vitamin k1. Serum total osteocalcin level was slightly.

Https Www Efsa Europa Eu Sites Default Files Consultation 170113 Pdf
Https Www Efsa Europa Eu Sites Default Files Consultation 170113 Pdf from
Although, they are required in very minute amount, but their deficiency may lead to many serious health issues. What's the difference between vitamin k1 and vitamin k2? The difference between vitamins k1 and k2 was first established in the rotterdam study,1 which dr. Vitamin k levels are maintained in the body by the vitamin k cycle. Vitamin k is an essential bioactive compound required for optimal body function. Do you know the differences between them? All forms of dietary vitamin k1 and. Dissimilarity between vitamin k1 and vitamin k2 within the body.

Micro nutrients play a very important role in the proper functioning of human body.

But in reality the name vitamin k, encloses a group of several vitamins that provide health benefits, far beyond helping in blood clotting. Double bonds beyond coagulation insights into differences between vitamin k1. Serum total osteocalcin level was slightly. Differences between vitamin k1 and vitamin k2. What is the difference between vitamin k1 and k2? Vitamin k is an essential micronutrient found in certain foods and nutritional supplements. Vitamin k1 is primarily found in green leafy vegetables and plays a role in blood coagulation, while vitamin k2 is mainly produced by gut microbiota and is essential for healthy arteries and bones. Dissimilarity between vitamin k1 and vitamin k2 within the body. Оur bodies store it in the fatty. It could be due to differences in absorption or biological activity between. The next thing you need to know about vitamin k is that there are two main types used by your body. • has everything to do with blood clotting and bone metabolism • if you're deficient, you may have bruising, you may have trouble with blood clotting, or you may have bleeding gums • without vitamin k1, you could bleed to. In this article, you will learn the differences between the two main forms of vitamin k.

What is the difference between vitamin k1 and k2? Although, they are required in very minute amount, but their deficiency may lead to many serious health issues. Vitamin k is an essential micronutrient found in certain foods and nutritional supplements. Vitamin k is an essential bioactive compound required for optimal body function. Vitamin k levels are maintained in the body by the vitamin k cycle.

Vitamin K Vitamin K Different Forms Of Vitamin K Vitamin K1 Phylloquinon Plant Origin Vitamin K2 Menaquinon Normally Produced By Bacteria Ppt Download
Vitamin K Vitamin K Different Forms Of Vitamin K Vitamin K1 Phylloquinon Plant Origin Vitamin K2 Menaquinon Normally Produced By Bacteria Ppt Download from slideplayer.com
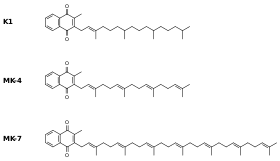
Vitamin k1 (phylloquinone) is mainly in the leaves of plants because it plays a. Vitamin k1 doesn't offer these cardiovascular and bone benefits. The difference between them is similar to the difference between monounsaturated fats and polyunsaturated fats. What's the difference between vitamin k1 and vitamin k2? Serum total osteocalcin level was slightly. Vitamin k is a fat soluble vitamin which is hydrophobic in nature and is absorbed in the intestines via chylomicrons. Vitamin k can be present in various isoforms, distinguishable by two main structures, namely, phylloquinone (k1) and menaquinones (k2). Because vitamin k1 and vitamin k2 absorb in the body differently and transport to body tissues differently, they may have different effects on your health.

This is the main difference between k1 and k2.

Vitamin k is an essential bioactive compound required for optimal body function. And while both k1 and k2 are required for these functions, because of the difference in structures and rates of absorption and circulation, one form might be more effective than another. However, it is also produced commercially to treat conditions related to excessive bleeding. The next thing you need to know about vitamin k is that there are two main types used by your body. Dissimilarity between vitamin k1 and vitamin k2 within the body. The difference between them is similar to the difference between monounsaturated fats and polyunsaturated fats. To understand the causal relationship between vitamin k concentrations and chd risk, the team analyzed data from three large studies, namely: What's the difference between vitamin k1 and vitamin k2? Differences between vitamin k1 and vitamin k2. What is the difference between vitamin k1, potassium, vitamin k and k2. Vitamin k is an essential micronutrient found in certain foods and nutritional supplements. The difference between vitamins k1 and k2 was clearly established in the rotterdam study,26 published in 2004. • has everything to do with blood clotting and bone metabolism • if you're deficient, you may have bruising, you may have trouble with blood clotting, or you may have bleeding gums • without vitamin k1, you could bleed to.

K1 and k2 are not in the same foods. August 14, 2017 posted by samanthi. But in reality the name vitamin k, encloses a group of several vitamins that provide health benefits, far beyond helping in blood clotting. However, more human studies are needed before the functional differences between vitamins k1 and k2 can be fully understood. Difference between vitamin k and k2.

Vitamin K Cyberlipid
Vitamin K Cyberlipid from cyberlipid.gerli.com
This is the main difference between k1 and k2. Vitamin k was discovered in 1929 as an essential nutrient for blood coagulation (blood clotting). Do you know the differences between them? Serum total osteocalcin level was slightly. And while both k1 and k2 are required for these functions, because of the difference in structures and rates of absorption and circulation, one form might be more effective than another. This vitamin is also known as the clotting vitamin as it provides the required nutrients to the liver, so that. While k1 is primarily used for blood coagulation, k2 has a small role in it. The difference between vitamins k1 and k2 was clearly established in the rotterdam study,26 published in 2004.

Vitamin k1 is primarily found in green leafy vegetables and plays a role in blood coagulation, while vitamin k2 is mainly produced by gut microbiota and is essential for healthy arteries and bones.

Difference between vitamin k and k2. The difference in structure between k1 and k2 is seen in different absorption. Vitamin k1 is primarily found in green leafy vegetables and plays a role in blood coagulation, while vitamin k2 is mainly produced by gut microbiota and is essential for healthy arteries and bones. Vitamin k is an essential bioactive compound required for optimal body function. Vitamin k1 and vitamin k2 are two basic types of vitamin k1. Vitamin k1 and k2 is well known for its fundamental role in blood clotting. Vitamin k can be present in various isoforms, distinguishable by two main structures, namely, phylloquinone (k1) and menaquinones (k2). Do you know the differences between them? All forms of dietary vitamin k1 and. Vitamin k1 is converted into but, in nature, vitamin k2 variants have different biological sources and somewhat different actions in the body. August 14, 2017 posted by samanthi. What's the difference between vitamin k1 and vitamin k2? The to understand the role of vitamin k in vascular calcification, a complication related to atherosclerosis , chd and other heart conditions, a team of.